Убихинон

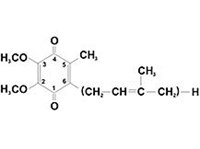
Убихино́н (кофермент Q, коэнзим Q10) — производное бензохинона; содержит хиноидную группу и 10 изопрениловых групп, что и отразилось в одном из названий вещества — коэнзим Q10. Убихинон жирорастворим, слабо растворим в этаноле и нерастворим в воде; разлагается на свету; не имеет запаха и вкуса. Синтезируется в организме человека из мевалоновой кислоты и продуктов обмена фенилаланина и тирозина. Убихинон по своей химической природе представляет витаминоподобное вещество и сходен с витаминами К и Е. Представлен в основном в митохондриях и участвует в аэробном процессе образования энергии в виде молекул аденозинтрифосфата (АТФ): отвечает за осуществление электронно-транспортной цепи митохондрий. Максимальная концентрация убихинона характерна для тканей печени и сердца — органов с наибольшими энергетическими потребностями. Например, в 1 г тканей сердечной мышцы содержится приблизительно 110 мкг убихинона, а в 1 г легочной ткани — всего около 10 мкг. К причинам, которые могут повлиять на понижение концентрации убихинона в организме можно отнести возраст, различные заболевания (атеросклероз, болезнь Альцгеймера, гепатит, бронхиальная астма). На основе убихинона изготавливают медицинские препараты для лечения и профилактики заболеваний сердечно-сосудистой системы, например, сердечной недостаточности, артериальной гипертонии, ишемической болезни сердца и др.
Статья находится в рубриках
Яндекс.Метрика