Рубрики
А-Я
Хронограф
Словари
Авторам
О проекте
Случайная статья
Редактировать
Распечатать
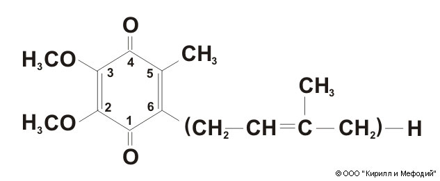
Убихинон
Структурная формула убихинонов. Различаются по числу изопреновых звеньев (от 6 до 10).
Навигатор