Триптофан

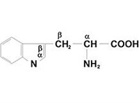
Триптофа́н, гетероциклическая аминокислота. Входит в состав гамма-глобулинов, казеина и других белков. Используется клетками млекопитающих для биосинтеза никотиновой кислоты (витамин РР) и серотонина, насекомыми — пигмента глаз, растениями — гетероауксина, индиго, ряда алкалоидов. При гнилостных процессах в кишечнике из триптофана образуются скатол и индол. Незаменимая аминокислота. Нарушения обмена триптофана у человека приводит к тяжелым заболеваниям. Пищевую ценность инеральных белков можно повысить добавкой триптофана, получаемого химическим синтезом.

Смотри также

Незаменимые аминокислоты

Заменимые аминокислоты

Статья находится в рубриках
Яндекс.Метрика