Физостигмин

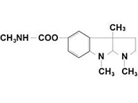
Физостигми́н, или эзерин (структурная формула C15H21O2N3) — алкалоид, который содержится в семенах растения физостигмы ядовитой из семейства бобовых. Семена также называют калабарскими бобами. Физостигмин был открыт в 1864 году немецкими химиками Гессе и Иобстом. Физостигмин обладает хорошей растворимостью в спирте, хлороформе, эфире. Широко используется в медицине, потому как входит в состав антихолинэстеразных лекарственных средств обратимого действия, то есть блокирует холинэстеразу и не дает ацетилхолину быстро расщепиться. Благодаря этому свойству физостигмина организм человека реагирует на прием физостигминсодержащего медикамента сужением зрачка, замедлением сердцебиения, усилением сокращения матки у женщин, усилением перистальтики кишечника и желудка. Такие медикаменты используют преимущественно в офтальмологии для сужения внутриглазного давления при глаукоме; при нервно-мышечных расстройствах, парезе кишечника и мочевого пузыря. Прозерин является синтетическим заменителем физостегмина.
Статья находится в рубриках
Яндекс.Метрика