Винные кислоты

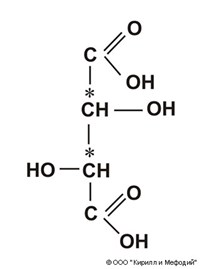
Ви́нные кисло́ты, НООССН(ОН) — СН(ОН)СООН. Наибольшее практическое значение имеет правовращающий изомер (D-Bинная кислота, винно-каменная кислота), бесцветные кристаллы, tпл 170 °С. Получают в промышленности из винного камня; используют в свободном виде или в виде солей и эфиров (тартратов) при изготовлении лимонадов, печенья, при крашении тканей, гальваническом лужении, в аналитической химии.
Статья находится в рубриках
Яндекс.Метрика