Рубрики
А-Я
Хронограф
Словари
Авторам
О проекте
Случайная статья
Редактировать
Распечатать
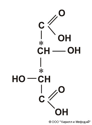
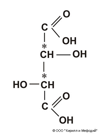
Винные кислоты
D-винная (винно-каменная) кислота.
Навигатор