Эвгенол

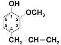
Эвгено́л (4-аллил-2-метоксифенол, 4-аллилгваякол, 2-метокси-4-(2-пропенил)фенол) — бесцветная или желтоватая жидкость с запахом гвоздики; температура кипячения 252 — 254 °С, плотность 1, 07 г/см3. Практически не растворяется в воде; растворим в пропиленгликоле, бензоле, толуоле, эфирных маслах. Выделяют главным образом из гвоздичного масла и масла эвгенольного базилика.
Применение: в качестве сырья для получения изоэвгенола; как компонент парфюмерных композиций; для отдушки табака; интермедиат в фармацевтической промышленности; для производства антиоксидантов и стабилизаторов пластмасс; как компонент составов для борьбы с насекомыми; составная часть обезболивающих, биоцидных препаратов, антисептиков, средств для защиты от ультрафиолетового излучения; в прошлом применялся как интермедиат при производстве синтетического ванилина; в ортопедической стоматологии (в смеси с оксидом цинка).
Статья находится в рубриках
Яндекс.Метрика