Инулин

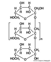
Инули́н — полисахарид, образованный остатками фруктозы; представляет собой сладкий белый порошок, легко растворимый в горячей воде и трудно растворимый в холодной воде. Молекулярная масса 5-6 тысяч единиц. При гидролизе под действием кислот и фермента инулазы он образует D-фруктозу и небольшое количество глюкозы. Инулин, как и промежуточные продукты его ферментативного расщепления — инулиды, не обладает восстанавливающими свойствами. Молекула инулина — цепочка из 30-36 остатков фруктозы в фуранозной форме. Подобно крахмалу, инулин служит запасным углеводом, встречается во многих растениях, главным образом семейства сложноцветных, а также колокольчиковых, лилейных, лобелиевых, фиалковых. В клубнях и корнях георгины, нарцисса, гиацинта, туберозы, цикория, земляной груши (топинамбура) содержание инулина достигает 10-12%. В растениях вместе с инулином почти всегда встречаются родственные углеводы — псевдоинулин, инуленин, левулин, гелиантенин, синистрин, иризин. Инулин получают из цикория или из топинамбура. Он легко усваивается организмом человека, применяется в медицине как заменитель крахмала и сахара при сахарном диабете. Инулин служит исходным материалом для промышленного получения фруктозы.
Статья находится в рубриках
Яндекс.Метрика