Глюкоза

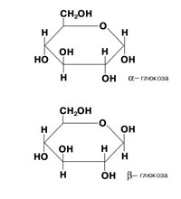
Глюко́за (от греч. glykys — сладкий) (виноградный сахар), углевод из группы моносахаридов. Хорошо растворима в воде, имеет сладкий вкус. В значительных количествах содержится в плодах винограда, меде. Входит в состав сахарозы, лактозы; образует крахмал и гликоген, а также целлюлозу. Глюкоза — один из ключевых продуктов обмена веществ, обеспечивающий живые клетки энергией (в процессах дыхания, гликолиза, брожения), исходный продукт биосинтеза многих веществ. У человека и животных постоянный уровень глюкозы в крови (ок. 100 мг%) поддерживается путем синтеза и распада гликогена. В промышленности глюкозу получают гидролизом крахмала. Применяется в кондитерской промышленности, в медицине.
Статья находится в рубриках
Яндекс.Метрика