Рубрики
А-Я
Хронограф
Словари
Авторам
О проекте
Случайная статья
Редактировать
Распечатать
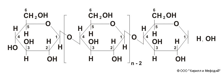
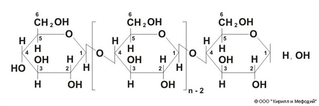
Целлюлоза
Структурная формула целлюлозы.
Навигатор