Рубрики
А-Я
Хронограф
Словари
Авторам
О проекте
Случайная статья
Редактировать
Распечатать
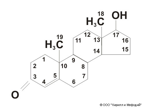
Тестостерон
Структурная формула тестостерона.
Навигатор