Рубрики
А-Я
Хронограф
Словари
Авторам
О проекте
Случайная статья
Редактировать
Распечатать
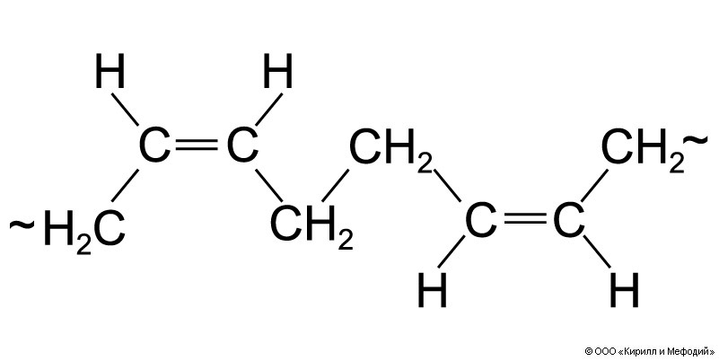
Стереорегулярный бутадиеновый каучук (структура макромолекулы)
Структура макромолекулы стереорегулярного бутадиенового каучука.
Навигатор