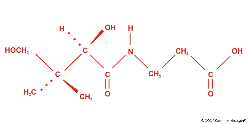
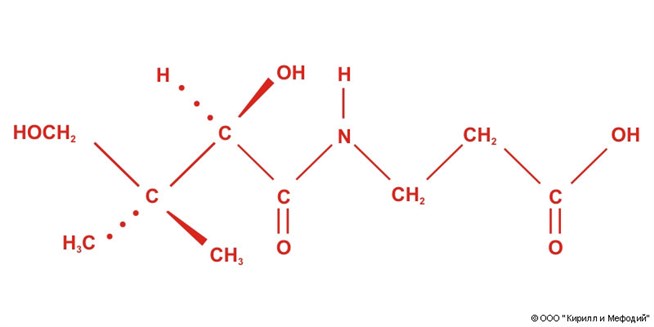
Пантотеновая кислота (витамин B(3))

Структурная формула витамина B(3).
Яндекс.Метрика