Рубрики
А-Я
Хронограф
Словари
Авторам
О проекте
Случайная статья
Редактировать
Распечатать
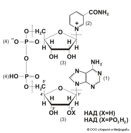
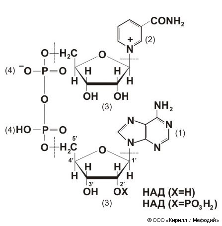
Никотинамидадениндинуклеотид (над)
Структурная формула НАД.
Навигатор