Рубрики
А-Я
Хронограф
Словари
Авторам
О проекте
Случайная статья
Редактировать
Распечатать
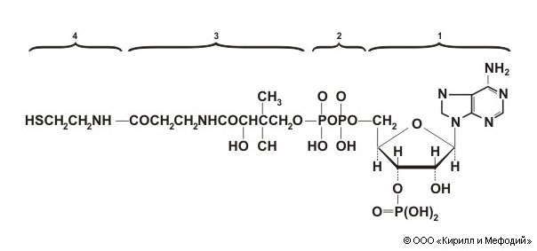
Кофермент А
Структурная формула кофермента А. 1 — остаток адениловой кислоты, 2 — пирофосфатная группа, 3 — остаток пантотеновой кислоты, 4 — остаток бета-меркаптоэтаноламина.
Навигатор