Рубрики
А-Я
Хронограф
Словари
Авторам
О проекте
Случайная статья
Редактировать
Распечатать
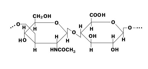
Гиалуроновая кислота
Повторяющаяся единица (a-глюкуронидо-N-ацетилглюкозамин) гиалуроновой кислоты.
Навигатор