Рубрики
А-Я
Хронограф
Словари
Авторам
О проекте
Случайная статья
Редактировать
Распечатать
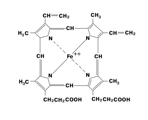
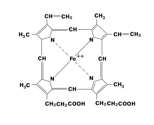
Гем
Гем, выделенный из крови позвоночных животных.
Навигатор