Рубрики
А-Я
Хронограф
Словари
Авторам
О проекте
Случайная статья
Редактировать
Распечатать
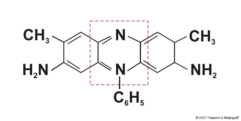
Азиновые красители (схема)
Азиновый краситель (сафранин Т). Пунктиром в формуле выделена азиновая группировка.
Навигатор