Флавинадениндинуклеотид

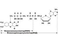
Флавинадениндинуклеоти́д (ФАД) — кофермент, небелковая составляющая большей части ферментов-флавопротеидов, входящих в состав живых клеток; производное рибофлавина. Растворим в органических растворителях и воде. Молекулярная масса 785, 56. Флавинадениндинуклеотид играет важную роль в нормальном протекании окислительно-восстановительных процессов организма.
Статья находится в рубриках
Яндекс.Метрика