Рубрики
А-Я
Хронограф
Словари
Авторам
О проекте
Случайная статья
Редактировать
Распечатать
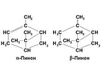
Пинены
Структурная формула
Пине́ны, бесцветные жидкости с запахом хвои,
t
кип
155-160°С, плотность ок. 0, 86 г/см
3
. Содержатся в скипидаре (до 90%) и эфирных маслах. Растворители лаков и красок, сырье для получения камфоры, терпинеола, терпингидрата, инсектицидов.
Статья находится в рубриках
НАУКА
»
Химия
»
Органические соединения
НАУКА
»
Химия
»
Красители. Лаки
Навигатор