Рубрики
А-Я
Хронограф
Словари
Авторам
О проекте
Случайная статья
Редактировать
Распечатать
Лишайниковые кислоты
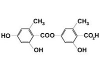
Структурная формула леканоровой кислоты
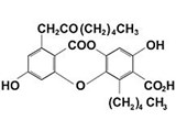
Лиша́йниковые кисло́ты, фенольные органические соединения, содержащиеся в лишайниках. Некоторые лишайниковые кислоты используют в народной медицине при лечении кожных заболеваний и столбняка.
Структурная формула физодовой кислоты
Структурная формула усниновой кислоты
Статья находится в рубриках
НАУКА
»
Медицина и ветеринария
»
Методы и средства лечения
»
Лекарственные средства
ФЛОРА И ФАУНА
»
Биология
»
Биохимия. Биофизика. Молекулярная биология
»
Химические компоненты организмов
НАУКА
»
Химия
»
Органические соединения
ФЛОРА И ФАУНА
»
Биология
НАУКА
»
Медицина и ветеринария
Навигатор