Ксилолы

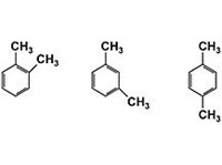
Ксило́лы, C6H4(CH3)2, орто-, мета- и пара- ксилолы — бесцветная жидкость, tкип 144, 4, 139, 1 и 138, 35 °С соответственно. Содержатся в каменноугольной смоле и в продуктах нефтепереработки. Применяются в синтезе фталевых кислот, а также как растворители и высокооктановые добавки к авиационнным бензинам.
Статья находится в рубриках
Яндекс.Метрика