Ксантин

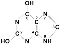
Ксанти́н, промежуточный продукт распада пуриновых оснований в организме животных и человека. Нарушение процеса окисления ксантина в мочевую кислоту приводит к накоплению в организме кальциевой соли ксантина.
Статья находится в рубриках
Яндекс.Метрика