Зоман

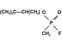
Зома́н, (CH3)3CCH(CH3)OP(O)CH3(F), бесцветная жидкость, tкип 42 °С (при 0, 2 мм ртутного столба). Отравляющее вещество нервно-паралитического действия; смертельная концентрация в воздухе 0, 02 мг/л при экспозиции 1 мин, концентрация ок. 2·10-4 мг/л вызывает миоз (сужение зрачка).
Статья находится в рубриках
Яндекс.Метрика