Дезоксирибоза

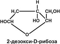
Дезоксирибо́за — простой углевод (моносахарид), относится к дезоксисахарам, входит в состав дезоксирибонуклеиновых кислот, содержит на одну гидроксильную группу меньше, чем рибоза. Дезоксирибоза представляет собой кристаллы с температурой плавления 78-82 °C, с молярной массой 134, 1. Дезоксирибоза входит в состав углеводно-фосфатного скелета молекул ДНК.
Статья находится в рубриках
Яндекс.Метрика