Аденозинмонофосфат Циклический

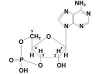
Аденозинмонофосфа́т Цикли́ческий (ЦАМФ), нуклеотид, один из важнейших биохимических регуляторов. Участвует в молекулярных механизмах действия многих гормонов, передачи нервного возбуждения, зрительного восприятия, мышечного сокращения и др. Открыт Э. Сазерлендом в 1957. Получают циклизацией 5"-аденозинмонофосфата.
Статья находится в рубриках
Яндекс.Метрика